앞에서 LTI Sytem의 안정성을 설명하면서 Internal Stability(시스템 자체의 안정성)에 대해서 보았는데
-> Response가 시간이 지나면서 Bounded, 혹은 0으로 수렴하면 Stable하다고 하였다.
그러면, 진짜로 반응을 보아야만, Stability를 따질 수 있나? 라는 생각이 들텐데, 당연히 그건 아니고
-> Pole의 위치를 보면 된다! -> Routh Test
이번에는, Pole의 위치를 보지 않고, Stability를 따질 수 있는 방법을 소개한다. -> Lyapunov Stability
(Lyapunov Equation)

이 때, A,B는 정사각행렬이다. (X는 꼭 정사각행렬일 필요없다.)
(Lyapunov Stability)

(만약에 positive definite 등을 모른다... -> 선형대수!)
즉, Lyapunov Equation의 Positive Definite 해가 유일하게 존재하면 저 시스템이 Stable하다는 내용이다.
왜 그러는지 살펴보자.
(증명)
1. 먼저, A가 Stable하면, 저 식을 만족함을 보여보자!
A가 Stable하면, eigenvalue가 모두 LHP에 있으므로, 서로 다른 eigenvalue를 더하면 항상 <0....

이를 거꾸로 해보면, 주어진 N에 대해서 저런 X(Eigenvectors)를 구할 수 있으므로, 항상 Unique한 Solution을 얻게 된다!
그럼, 이를 좀 더 증명해보자. 일단, 저 X를 다음과 같이 잡아놓자.

이 X가 Lyapunov Equation을 만족함을 보이자.

이 때, N이 Symmetric이므로 X도 Symmetric!
또한, Positive Definite의 경우도,

로 증명이 가능하다!
(NOTE)
Positive Definite는 다음과 같이 Decomposition이 가능하다.

그러면, 이제 해의 유일성을 체크해보자!
일단, 해가 여러개 있다고 가정해보자...

그러므로 해는 유일하다!
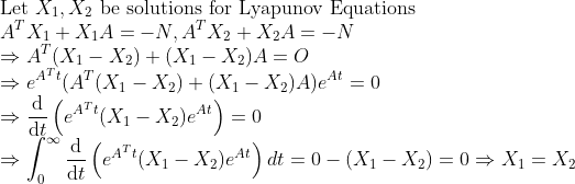
2. 역으로 Lyapunov Equation을 만족하는 해가 유일하면, A가 Stable함을 보이자.
(NOTE) Hermitian(에르미트 전치)를 사용하자!

그러므로, A가 Stable하다는 것을 보였다!
이걸 보면서, 굳이 Pole의 위치를 따지면 되는 쉬운 방법이 있는데, 왜 이렇게까지 해야 할까라는 생각을 할텐데,
Nonlinear System에서 안정성을 따질 때, 변형해서 사용할 수 있다!
'제어이론 > 선형시스템 -> LTI System' 카테고리의 다른 글
| (선형시스템) 4-2. Zero는 어디에 쓰는가? (0) | 2023.04.10 |
|---|---|
| (선형시스템) 4-1. Response의 성능 in Time-Domain (0) | 2023.04.10 |
| (선형시스템) 3-1. LTI system의 안정성 (Stability of LTI System) (0) | 2023.04.07 |
| (선형시스템) 2-2. 마음대로 잡아도 되는 State-Variable (Equivalent System of LTI) (0) | 2023.04.06 |
| (선형시스템) 2-1. MIMO LTI System의 해 (0) | 2023.04.05 |