일변수함수의 미분에서처럼 Chain Rule이 다변수함수에 어떻게 적용되는지 확인하자.
(자세한 조건들(open set...)은 추후 해석학 카테고리 참고)
참고로 일변수함수에서의 chain rule은 다음과 같았다.

(Chain Rule)

즉, 일변수함수와 별반 다를 게 없다. (저 g'는 f(x)에 대한 미분을 말하고 있다!
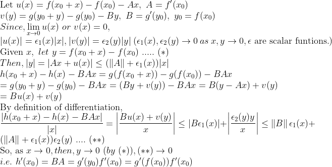
(증명)
증명은 일변수함수와 동일하다.

증명이 복잡해보일 수도 있지만, 결국에 차원만 잘 고려해준 것밖에 없다.
(예시) 극좌표계에서의 Chain Rule
좌표계파트에서 보았듯이 직교좌표계를 극좌표계로 변환하는 변환(사상)은 다음과 같다.

또한, 극좌표계에서 정의된 다음과 같은 함수가 있다고 하자.

그렇다면 chain rule을 이용해서 다음과 같은 식을 얻을 수 있다.


즉, 관여되어 있는 모든 독립변수에 대해서 각각에 chain rule을 쓴 후, 이를 모두 더하면 된다.
또한, 미분의 정의에 의해서 다음과 같은 표현도 가능하다.
r이 dr만큼 변화했을 때의 x의 변화량은 다음과 같이 표현할 수 있을 것이다. (theta가 움직이지 않을 때)

그렇다면, r이 dr만큼 변화하고, theta도 dtheta만큼 변한다면 x의 변화량은 이 두 개에 의한 변화량의 합일 것이다. 즉,

y 또한 같은 방식으로 표현하면 다음과 같다.

이를, 행렬 표현으로 나타내면

좌표계 변환시에 아주 많이 이용하는 식이다!
사실, 앞 챕터에서도 말했지만 저 dx, dy같은 표현은 differential form(미분형식)인데, 여기서는 그냥 dx가 앞챕터들에서 말했던거 같이 실제 x의 변화량과 대응된다고 생각을 하면 된다. 미분형식에 관한 내용은 해석학에 실을 예정이다.
이번에는 다변수함수에서의 Mean Value Theorem(MVT)는 어떻게 변화하는지 확인해보자.
일변수함수의 MVT는 다음과 같았다.

(Mean Value Theorem) (in 2-D)

위의 분수꼴을 잘 펼쳐 놓은 것 밖에는 없다...
(증명)
이 경우에도 일변수함수와 다를게 없다는 것을 확인할 수 있을 것이다.
자, 여기까지 다변수함수의 미분과 그에 관한 정리에 대해서 알아보았다.
미분의 정의만 빼놓고 보면, 일변수함수와 크게 다르지 않다는 것을 확인할 수 있다.
여기서 "다변수 input과 output을 모두 벡터(1차원)로 보았었는데, 이를 행렬(2차원)으로 확장할 수도 있지 않을까???" 라는 생각을 할 수도 있다. 경우에 따라서 미분값이 텐서(Tensor)로 표현이 될 수도 있겠지만, 대부분의 경우는 주어진 행렬을 그냥 1차원으로 주르륵 나열해서 (줄별로) 합치면 그냥 벡터(1차원)로 보아도 되기 때문에 더 이상의 논리 전개는 굳이 필요하진 않은 듯하다....
아무래도 input과 output이 모두 여러 개라서 상당히 어려웠을 수도 있다.
그.래.서. 다음 챕터에서는 output 개수가 1개인 경우에 대해서 이야기할 예정이다.
